Ответы
Ответ дал:
0
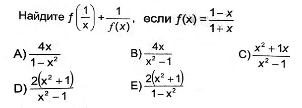
f(1/x) = (1 - 1/x)/(1 + 1/x) = (x-1)/x+1)
1/f(x) = (1 +x)/(1 - x)
(x-1)/x+1) + (1 +x)/(1 - x) = (x -1 -x² +x +x² +2x +1)/(1 - x² ) = 4x/(1 - x²)
1/f(x) = (1 +x)/(1 - x)
(x-1)/x+1) + (1 +x)/(1 - x) = (x -1 -x² +x +x² +2x +1)/(1 - x² ) = 4x/(1 - x²)
Ответ дал:
0
Большое спасибо!!!!!!
Вас заинтересует
2 года назад
2 года назад
7 лет назад
10 лет назад
10 лет назад
10 лет назад