• Предмет: Алгебра
  • Автор: dashadeloborodo
  • Вопрос задан 9 лет назад

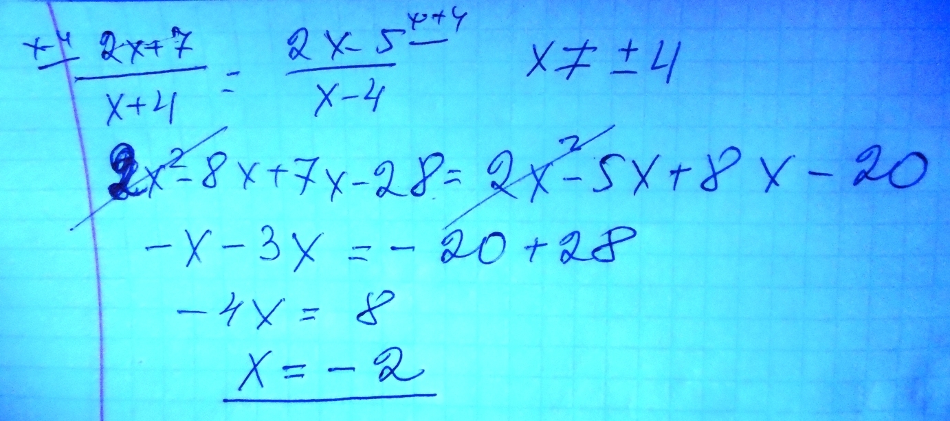
Найдите корни уравнения 2x+7/x+4=2x-5/x-4

Ответы

Ответ дал: miron2077
0
!!!!!!!!!!!!!!!!!!!!!!!!!!!!!!!!!!!!!!!!!
Приложения:
Вас заинтересует