пожалуйста,решите пример НЕ по действиям,А ВЫРАЖЕНИЕМ:
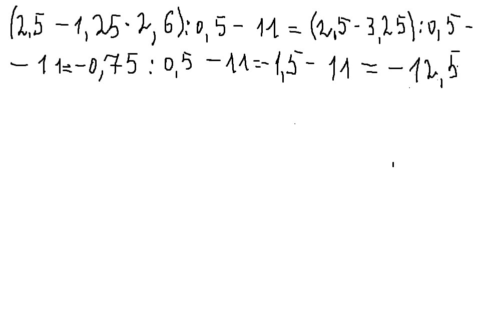
(2,5- 1 1/4(одна целая,одна четвёртая) х 2,6):0,5-11
Ответы
Ответ дал:
0
1 14=1,25 решение смотри внизу
Приложения:

Ответ дал:
0
Спасибо тебе большое)По больше бы таких,как ты)
Вас заинтересует
2 года назад
2 года назад
7 лет назад
7 лет назад
9 лет назад
9 лет назад
10 лет назад