• Предмет: Математика
  • Автор: kahar8v
  • Вопрос задан 9 лет назад

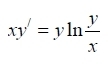
Укажите тип дифференциального уравнения первого порядка:

Приложения:

Ответа на этот вопрос пока нет. Попробуйте найти его через форму поиска.

Вас заинтересует