• Предмет: Математика
  • Автор: sladova7429
  • Вопрос задан 9 лет назад

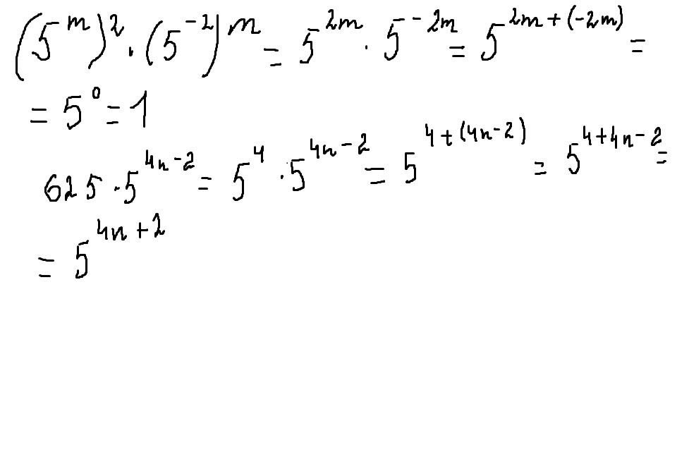
Представьте выражение в виде степени с основанием 5(n-целое число)
Решите пожалуйста!

Приложения:

Ответы

Ответ дал: Banabanana
0
2)   (5^m)^2*(5^{-2})^m=5^{2m}*5^{-2m}=5^{2m+(-2m)}=5^0 \  \ 3)   625*5^{4n-2}=5^4*5^{4n-2}=5^{4+4n-2}=5^{4n+2}
Ответ дал: sladova7429
0
Спасибо!
Ответ дал: Banabanana
0
пожалуйста)
Ответ дал: parus77
0
решение смотри внизу 
Приложения:
Ответ дал: sladova7429
0
Спасибо)
Вас заинтересует