Ответы
Ответ дал:
0
Решение смотри на фото
Приложения:
Ответ дал:
0
ОГРОМНОЕ СПАСИБО!
Ответ дал:
0
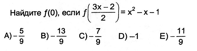
Найдите 0) , если f( (3x -2) /2 ) = x² - x -1
* * * * * * ** *
Решение
---------
замена :
t =(3x -2) /2 ⇒ x =2(t+1) /3
f(t) = ( 2(t+1) /3 )² - 2(t+1) /3 -1 =4(t+1)²/9 -2(t+1) / 3 -1 =
(4(t²+2t+ 1) - 6(t+1) -9) / 9 = (4t² +8t +4 -6t -6 -9) /9
f(t) = (4t² +2t -11) /9 .
f(0) =(4*0² +2*0 -11)/9 = -11/9 .
ответ : Е) -11/9 .
--------------
Удачи Вам !
* * * * * * ** *
Решение
---------
замена :
t =(3x -2) /2 ⇒ x =2(t+1) /3
f(t) = ( 2(t+1) /3 )² - 2(t+1) /3 -1 =4(t+1)²/9 -2(t+1) / 3 -1 =
(4(t²+2t+ 1) - 6(t+1) -9) / 9 = (4t² +8t +4 -6t -6 -9) /9
f(t) = (4t² +2t -11) /9 .
f(0) =(4*0² +2*0 -11)/9 = -11/9 .
ответ : Е) -11/9 .
--------------
Удачи Вам !
Приложения:
Ответ дал:
0
ОГРОМНОЕ СПАСИБО!
Вас заинтересует
3 года назад
3 года назад
7 лет назад
7 лет назад
10 лет назад