• Предмет: Математика
  • Автор: grey216
  • Вопрос задан 9 лет назад

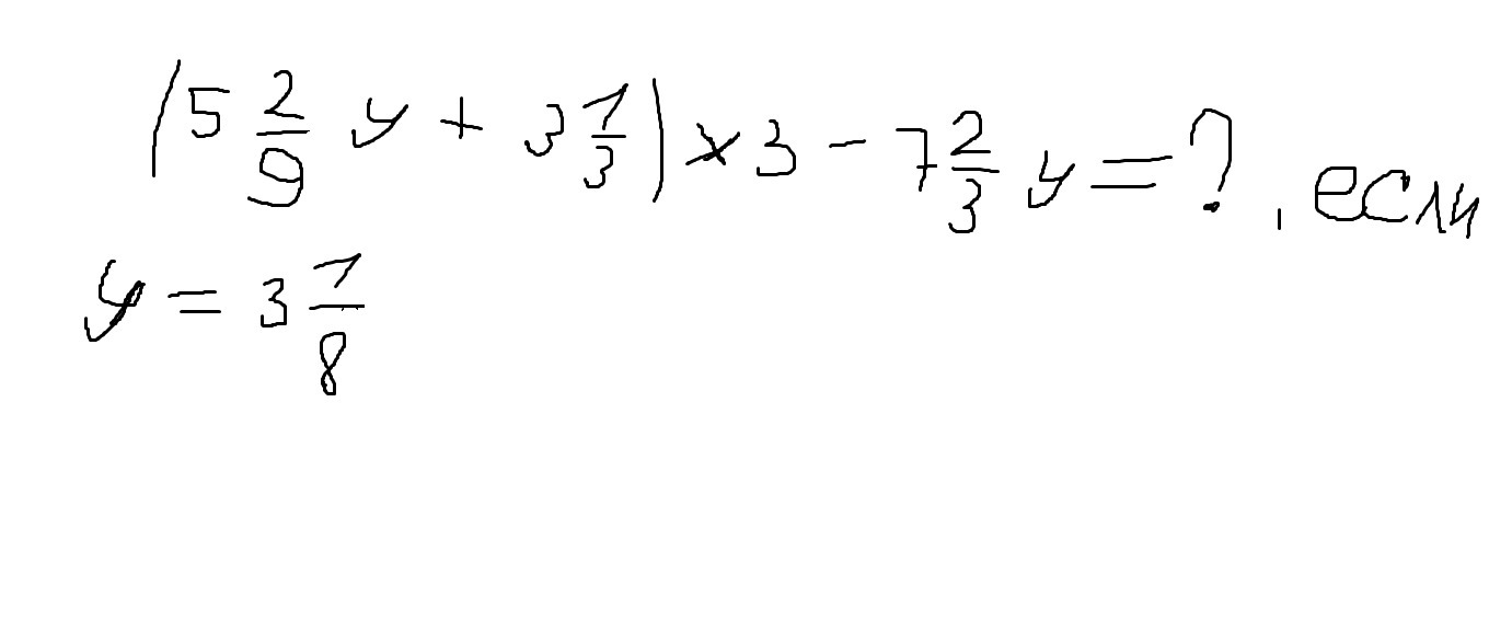
ответьте)))
)))))))))))))))))))))))))))))))))))))))))))))))))))))))))))))))))

Приложения:

Ответы

Ответ дал: Binazir111
0
Ответ: 5/2 или 2,5 .....................
Вас заинтересует