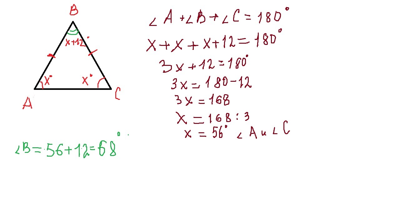
Кут при вершині рівнобедриного трикутника на 12 градусів більший за кут при основі. Знайдіть кути цього трикутника
Ответы
Ответ дал:
0
решение смотри внизу.
Приложения:

Ответ дал:
0
за 3 пари ковзанів та 4 пари лиж заплатили 480 грн скільки коштує пара лиж та ковзанів окремо якщо 2 пари ковзанів на 15 грн дрожчі за 1 пару лиж
Вас заинтересует
2 года назад
2 года назад
7 лет назад
7 лет назад
10 лет назад
10 лет назад