• Предмет: Алгебра
  • Автор: Strahovskaya
  • Вопрос задан 9 лет назад

И снова к вам за помошью. Совсем забыла любимую алгебру(((

Приложения:

Ответы

Ответ дал: Аноним
0
решение смотри во вложении
Приложения:
Ответ дал: zarembo73
0
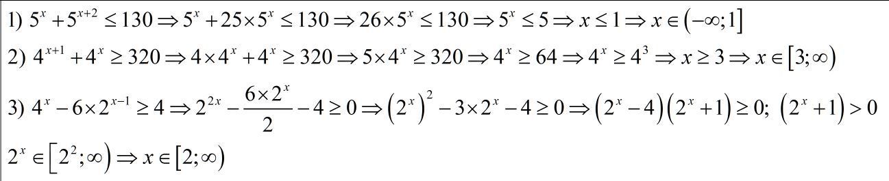
1) 5^x+5^{x+2} leq 130; \ 
5^x(1+5^2) leq 130; \ 
5^x*26 leq 130; \ 
5^x leq 5; \
Так как основание 5>1, то знак неравенства не меняется.
x≤1.
Ответ: (-∞;1].

2) 4^{x+1}+4^x geq 320; \ 
4^x(4+1) geq 320; \ 
4^x*5 geq 320; \ 
4^x geq 64; \ 
4^x geq 4^3; \
Так как основание 4>1, то знак неравенства не меняется.
x≥3.
Ответ: [3;+∞).

3) 4^x-6*2^{x-1} geq 4; \ 
2^{2x}-6* frac{2^x}{2} geq 4; \ 
2*2^{2x}-6*2^x geq 8; \ 
2^x=t; \ 
t textgreater  0; \ 
2t^2-6t-8 geq 0; \ 
t^2-3t-4  geq 0; \ 
D=9+16=25; \ 
 t_{1}= frac{3-5}{2}=-1; \ 
 t_{2}= frac{3+5}{2}=4; \ 
t geq 4;
2^x geq 4;
2^x geq 2^2;
x geq 2.
Ответ: [2;+∞).
Приложения:
Ответ дал: Strahovskaya
0
Спасибо огромное!
Вас заинтересует