• Предмет: Алгебра
  • Автор: alekseybelench
  • Вопрос задан 9 лет назад

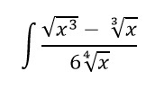
Найти интеграл. Задание на картинке

Приложения:

Ответа на этот вопрос пока нет. Попробуйте найти его через форму поиска.

Вас заинтересует