• Предмет: Математика
  • Автор: nika700
  • Вопрос задан 9 лет назад

послідовність bn є геометричною прогресією.Знайдіть b1,якщо b5=4,b6=-8

Ответы

Ответ дал: dtnth
0
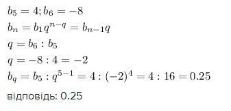
b_5=4;b_6=-8
b_n=b_1q^{n-q}=b_{n-1}q
q=b_6:b_5
q=-8:4=-2
b_q=b_5:q^{5-1}=4:(-2)^4=4:16=0.25
відповідь: 0.25
Приложения:
Ответ дал: dtnth
0
приложение НОЖНИЦЫ, позволяет решение оформить в виде картинки
Ответ дал: nika700
0
можно ссылку
Ответ дал: Маша888
0
лол
Ответ дал: dtnth
0
приложение Ножницы встроенно на компе(ноуте), аналог кнопки принтскрин, только удобнее
Ответ дал: nika700
0
аа
Ответ дал: Маша888
0
b1 - ?

q = b6/b5 = -8/4 = -2

bn = b1 * qⁿ-¹

b5 = b1 * q⁴
4 = b1 * (-2)⁴
4 = b1 * 16
b1 = 1/4

Ответ: 1/4
Приложения:
Вас заинтересует