Здравствуйте, помогите решить домашнее задание по теме: «Первообразная».
Самостоятельная работа по теме:
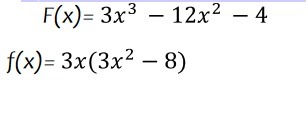
1) Является ли функция F(x) первообразной функции f(х) ?
Приложения:

Ответы
Ответ дал:
0
нет, не является. решение на листе.
Приложения:

Вас заинтересует
2 года назад
2 года назад
7 лет назад
7 лет назад
9 лет назад
9 лет назад
10 лет назад