• Предмет: Математика
  • Автор: Yarina0311
  • Вопрос задан 9 лет назад

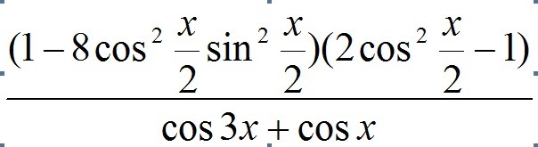
не сходится ответ с учебником.

Приложения:

Ответы

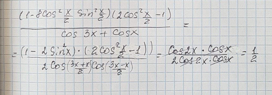
Ответ дал: подкожного
0
решение задания смотри на фотографии
Приложения:
Ответ дал: подкожного
0
пожалуйста
Вас заинтересует