Ответы
Ответ дал:
0
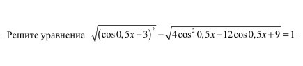
|cos0,5x-3| -
= 1
cos0,5x-3 всегда меньше нуля, т.к. косинус не может быть больше единицы, поэтому получаем:
3-cos0,5x - |2cos0,5x-3| = 1
2cos0,5x-3 всегда меньше нуля, т.к. косинус не может быть больше единицы, поэтому получаем:
3-cos0,5x-(3-2cos0,5x) = 1
cos0,5x = 1
0,5x = 2πk, k∈Z
x = 4πk, k∈Z
Ответ: 4πk, k∈Z
cos0,5x-3 всегда меньше нуля, т.к. косинус не может быть больше единицы, поэтому получаем:
3-cos0,5x - |2cos0,5x-3| = 1
2cos0,5x-3 всегда меньше нуля, т.к. косинус не может быть больше единицы, поэтому получаем:
3-cos0,5x-(3-2cos0,5x) = 1
cos0,5x = 1
0,5x = 2πk, k∈Z
x = 4πk, k∈Z
Ответ: 4πk, k∈Z
Вас заинтересует
3 года назад
7 лет назад
10 лет назад