• Предмет: Алгебра
  • Автор: annamakar2
  • Вопрос задан 9 лет назад

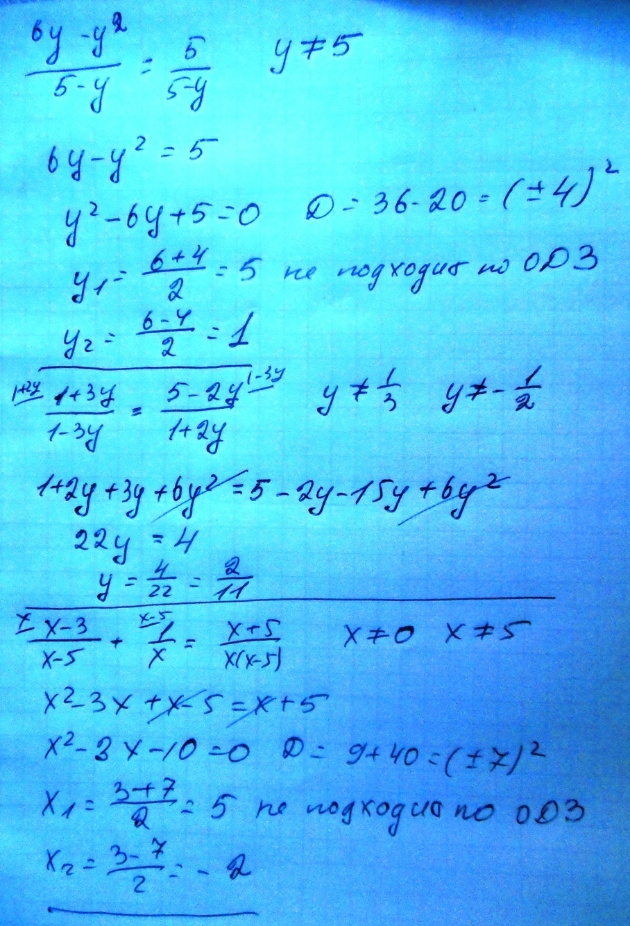
Ребята, умоляю помогите с алгеброй , ничего вообще не понимаю, надежда на вас!!!!!! Заранее благодарна

Приложения:

Ответы

Ответ дал: miron2077
0
!!!!!!!!!!!!!!!!!!!!!!!!
Приложения:
Ответ дал: annamakar2
0
Спасибо большое))))))!!!!!!!!!!!
Ответ дал: miron2077
0
так надо было только один пример?
Ответ дал: annamakar2
0
Все что вы решили, все нужно, огромное спасибо за решение ))))
Ответ дал: miron2077
0
пожалуйста!
Вас заинтересует