Помогите пожалуйста с химией! Заранее благодарен!
Напишите структурные формулы:
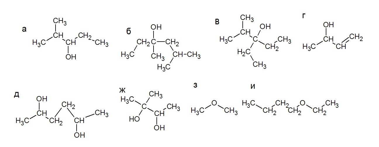
а)2-метилпентанол-3
б)3,5-диметилгексанол-3
в)2-метил-3-этилпентанол-3
г)бутен-3-ол-2
д)гександиол-2,5
ж)2-метилбутандиол-2,3
з)диметиловый эфир
и)бутилэтиловый эфир
к)1,2-дигидрокситолуол
л)2-метил-3-гидроксифенол
м)2-гидрокси1,3,5-тринитробензол
Ответы
Ответ дал:
0
для меня загадка в к), почему 1,2-дигидрокситолуол. это же не устойчиво. (им там тесно ) логичнее встать в 3,5
ну и та же история с л)
ну и та же история с л)
Приложения:


Ответ дал:
0
спасибо огромное! так уж задания составляют
Ответ дал:
0
может у составителей этих заданий есть какая-то своя методика, с какого углеродного атома они считают ароматику...
Ответ дал:
0
возможно
Вас заинтересует
2 года назад
7 лет назад
7 лет назад
9 лет назад
9 лет назад
10 лет назад