ребят помогите СРОЧНО нужно, не получается вообще!!!
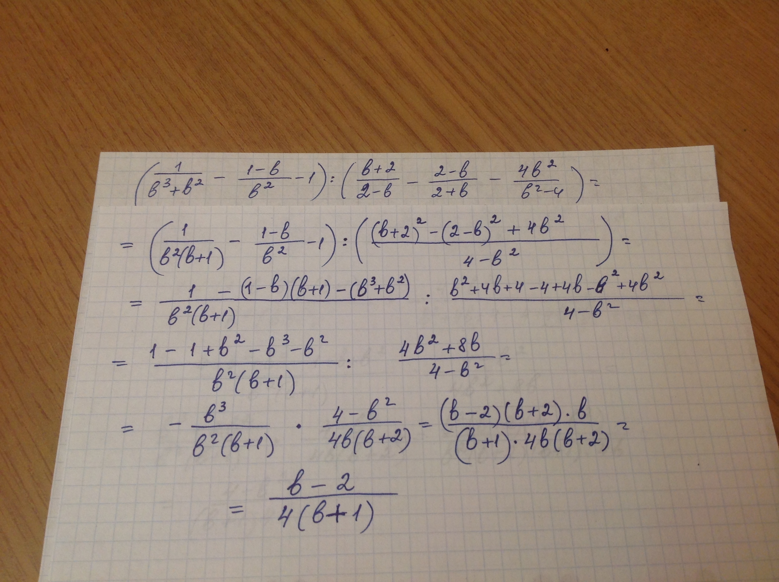
(1/b^3+b^2 - 1-b/b^2 -1) : (b+2/2-b - 2-b/2+b - 4b^2/b^2-4)
номер 4 я кинул фотку если не понятно
Зарание большое спасибо!!!
СРОЧНО!!!
Приложения:

Ответы
Ответ дал:
0
Решение смотри на фото
Приложения:

Ответ дал:
0
спасибо вам большое!!!!
Вас заинтересует
2 года назад
2 года назад
7 лет назад
9 лет назад
10 лет назад