• Предмет: Физика
  • Автор: poloskinakatya
  • Вопрос задан 9 лет назад

С какой силой взаимодействовали бы две капли воды на расстоянии 1 км, если бы удалось передать одной из капель 1% всех электронов, содержащихся в другой капле массой 0,03 г?

Ответы

Ответ дал: J0VEVIP
0

Дано:

е = 1,6⋅10-19 Кл

r = 1 км = 103 м

m = 0,03 г = 3⋅10-5 кг

η = 1%

NA = 6⋅1023 моль-1

М = 1,8⋅10-2 кг/моль

k=1/4πε0= 9 ⋅ 109Н ⋅ м2/Кл 2

Найти:

Fк - ?

Решение:

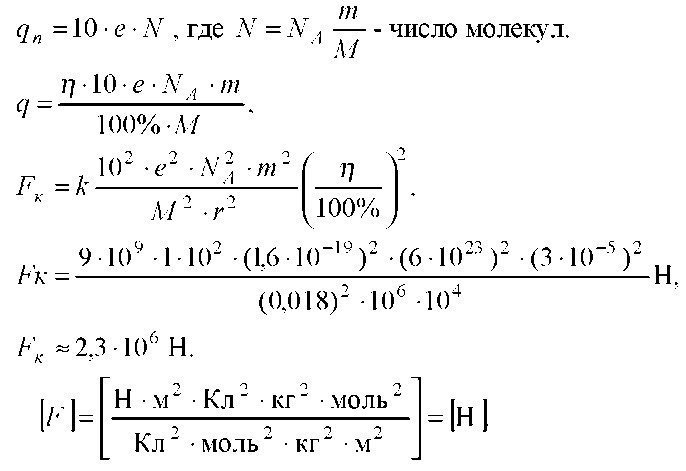
При переносе с одной электронейтральной капли на другую заряда определенного электронейтральность знака каждой из капель нарушается. В этом случае заряды капель будут одинаковы по модулю и противоположны по знаку, и они будут взаимно притягиваться.Согласно закону Кулона, при этом сила притяжения капель воды будет равна:
 (фото)
Найдем модуль зарядов q=(η/100%)qn, где qn, - общий заряд всех электронов во 100% п капель: второй капле воды. В молекуле воды (Н2О) содержится 10 электронов: 8 - кислорода, 2- водорода. Следовательно, qn =10 ⋅ e ⋅ N , где N = NAm/M - число молекул.
(фото)

Приложения:
Вас заинтересует