Здравствуйте, помогите решить, домашнее задание по теме: «Свойства степеней».
Найдите значение выражения:
Приложения:

Ответы
Ответ дал:
0
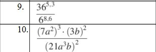
9). 36^5,3/6^8,6=(6^2)^5,3/ 6^8,6=6^10,6/6^8,6=6^2=36; 10). 343a^6*9b^2/ 441a^6b^2=7/
Вас заинтересует
2 года назад
9 лет назад
9 лет назад
10 лет назад