Здравствуйте, помогите решить, домашнее задание по теме: «Свойства степеней».
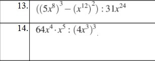
Найдите значение выражения:
Приложения:

Ответа на этот вопрос пока нет. Попробуйте найти его через форму поиска.
Вас заинтересует
2 года назад
7 лет назад
9 лет назад
10 лет назад