• Предмет: Алгебра
  • Автор: katyakoraleva
  • Вопрос задан 9 лет назад

ПОМОГИТЕ РЕШИТЬ ПОЖАЛУЙСТА
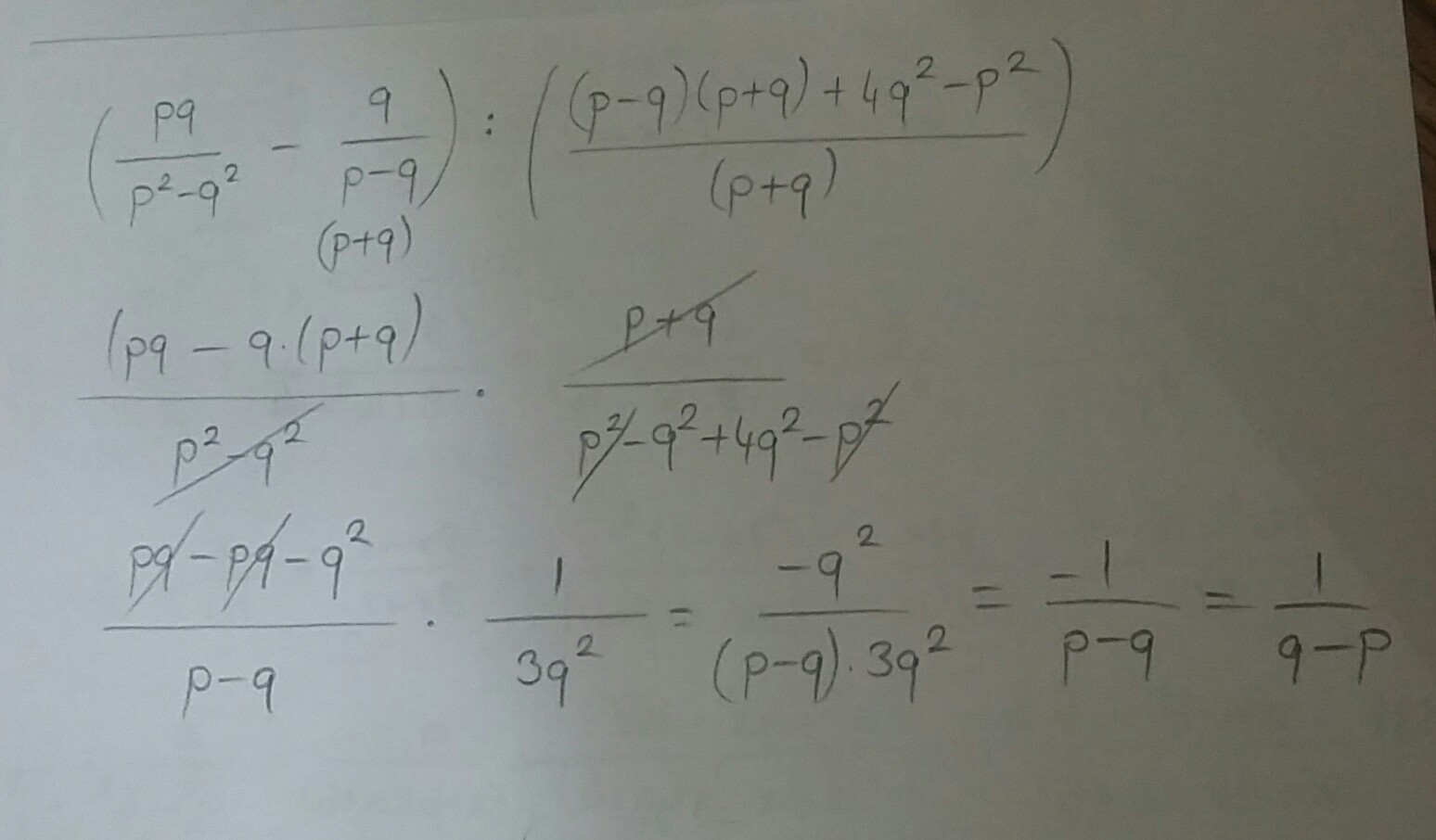
 (frac{pq}{ p^{2} -q^{2}} + frac{q}{q-p} ):(p-q+ frac{ 4q^{2}- p^{2}}{p+q})

Ответы

Ответ дал: Аноним
0
I hope this helps you
Приложения:
Вас заинтересует