Ответы
Ответ дал:
0
решение во вложении
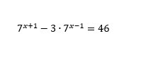
1. по свойствам степени
2. вынесение за скобки общего множителя с наименьшим показателем
1. по свойствам степени
2. вынесение за скобки общего множителя с наименьшим показателем
Приложения:
Вас заинтересует
2 года назад
2 года назад
7 лет назад
7 лет назад
10 лет назад
10 лет назад
10 лет назад