• Предмет: Алгебра
  • Автор: marckelovatama
  • Вопрос задан 9 лет назад

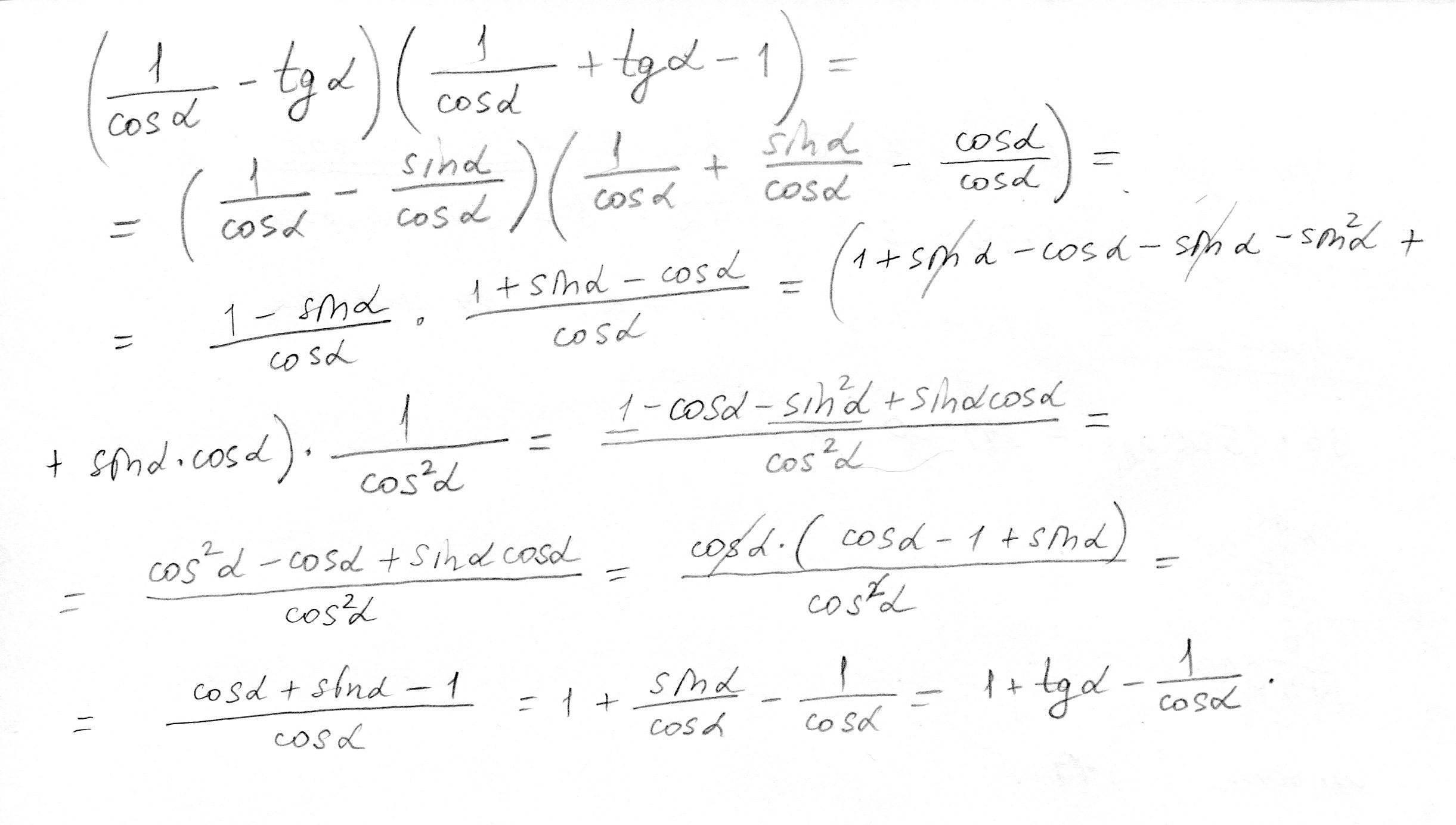
Упроупстить выражение (1/cos⁡а -tan⁡〖а)(1/(cos⁡〖а 〗 )〗+tan⁡〖а)-1〗

Ответы

Ответ дал: Аноним
0
Решение на листочке ниже...
Приложения:
Вас заинтересует