Ответы
Ответ дал:
0
...........
...
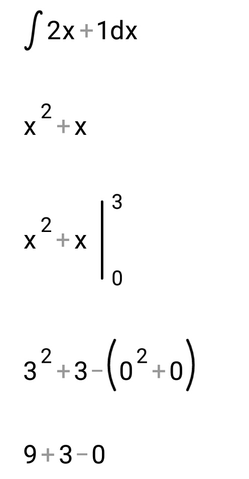
ответ 12
...
ответ 12
Приложения:

Вас заинтересует
2 года назад
7 лет назад
9 лет назад
9 лет назад
10 лет назад
10 лет назад