• Предмет: Алгебра
  • Автор: Аноним
  • Вопрос задан 11 лет назад

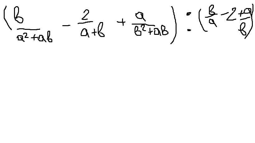
Помогите решить с очень подробным решением ,желательно в формате граффити :*

Приложения:

Ответы

Ответ дал: MashaKlimova
0
Решение во вложении.........................
Приложения:
Вас заинтересует