• Предмет: Математика
  • Автор: anastadiya8702
  • Вопрос задан 9 лет назад

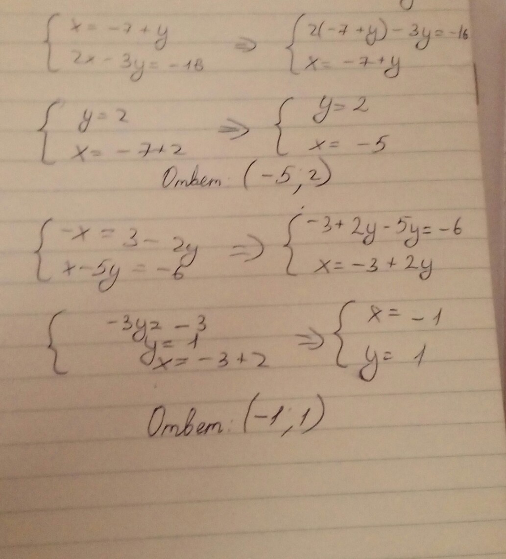
найдите решение систем уравнений способом подставки .1.х=-7+у
2х-3у=-16
2.-х=3-2у
Х-5у=-6

Ответы

Ответ дал: Герман04
0
вот надеюсь помогла тебе)
Приложения:
Ответ дал: anastadiya8702
0
спасибо
Вас заинтересует