На поверхности озера находится круглый плот, радиус которого
R = 8 м. Глубина озера h = 2 м. Определить радиус r полной тени от
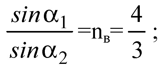
плота на дне озера при освещении воды рассеянным светом. Показатель
преломления воды n = 4/3.
Ответы
Ответ дал:
0
дальше только подставит и вычислить
Приложения:





Вас заинтересует
2 года назад
2 года назад
7 лет назад
9 лет назад
9 лет назад
10 лет назад