• Предмет: Математика
  • Автор: dungle345
  • Вопрос задан 9 лет назад

Помогать бытстрее пожалуйста!!!!!!

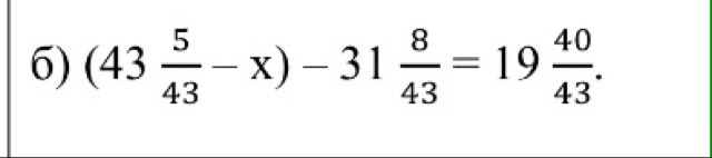
Приложения:

Ответа на этот вопрос пока нет. Попробуйте найти его через форму поиска.

Вас заинтересует