• Предмет: Алгебра
  • Автор: Камария
  • Вопрос задан 9 лет назад

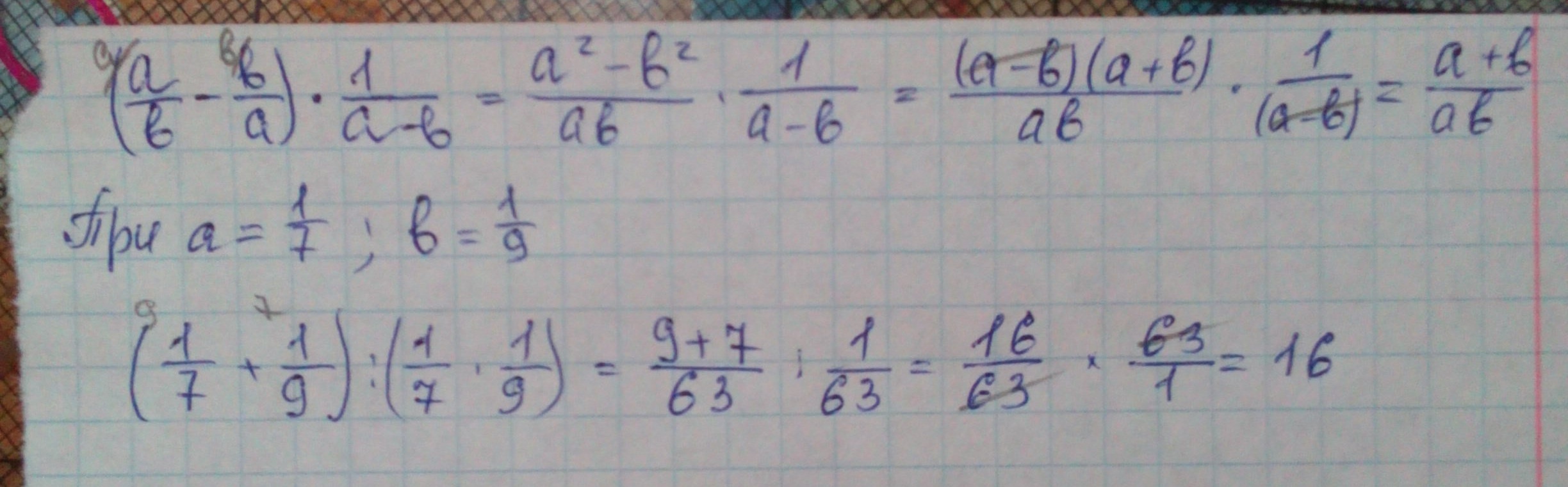
найдите значение выражения (дробь a/b- дробь b/a) * дробь 1/a-b при a=1/7, b=1/9

Ответы

Ответ дал: olesi02
0
Решение смотри на фото
Приложения:
Вас заинтересует