Ответы
Ответ дал:
0
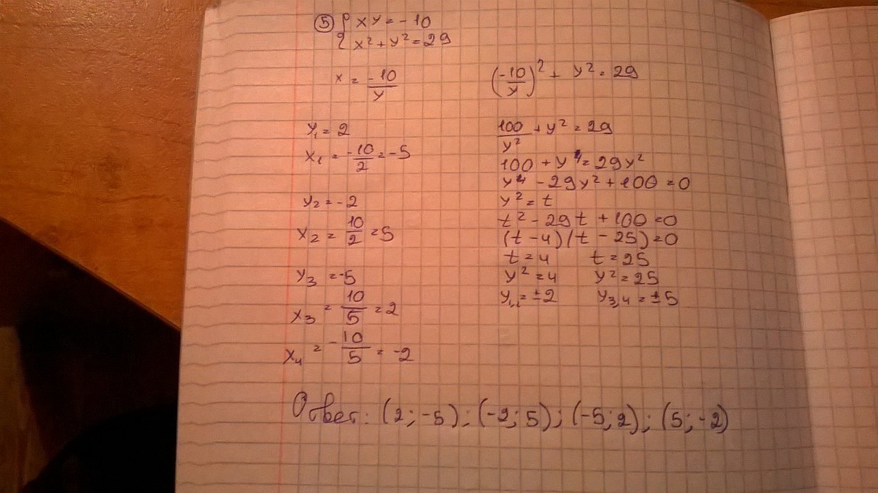
1 и 5 задания решаются по одному принципу:
есть два уравнения, из простого выражаешь одну переменную( например х) и подставляешь во второе уравнение, находишь y и подставляешь обратно в х.
2. тут чертим график функций( под а обрати внимания на обозначения осей) ищем точки пересечение графиков это и есть решение
3.методом подбора можно сделать, у меня получилось l=-8.k=-3.( а дальше долго)
4.рассматриваем треугольник. синус-отношение противолежащего катета к гипотинузе. дальше выражаем а. подставляем и готово.
есть два уравнения, из простого выражаешь одну переменную( например х) и подставляешь во второе уравнение, находишь y и подставляешь обратно в х.
2. тут чертим график функций( под а обрати внимания на обозначения осей) ищем точки пересечение графиков это и есть решение
3.методом подбора можно сделать, у меня получилось l=-8.k=-3.( а дальше долго)
4.рассматриваем треугольник. синус-отношение противолежащего катета к гипотинузе. дальше выражаем а. подставляем и готово.
Приложения:



Вас заинтересует
2 года назад
2 года назад
7 лет назад
9 лет назад
9 лет назад
10 лет назад