Ответы
Ответ дал:
0
Квадратное уравнение
Приложения:
Ответ дал:
0
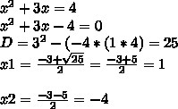
х² + 3х = 4
х² + 3х - 4 = 0
D = b² - 4ac = 3² - 4·1·(-4) = 9 + 16 = 25
- 3 - √25 - 3 - 5
х₁ = ------------ = -------------- = - 8/2 = - 4
2 * 1 2
- 3 + √25 - 3 + 5
х₂ = ---------------= ----------- = 2/2 = 1
2 * 1 2
х² + 3х - 4 = 0
D = b² - 4ac = 3² - 4·1·(-4) = 9 + 16 = 25
- 3 - √25 - 3 - 5
х₁ = ------------ = -------------- = - 8/2 = - 4
2 * 1 2
- 3 + √25 - 3 + 5
х₂ = ---------------= ----------- = 2/2 = 1
2 * 1 2
Приложения:
Вас заинтересует
7 лет назад
7 лет назад
10 лет назад
10 лет назад
10 лет назад
10 лет назад