Ответы
Ответ дал:
0
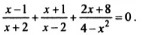
х–1 х+1 2х+8
------ + ------ – --------- = 0
х+2 х–2 х^2–4
ОДЗ: х не равно -2 и 2
(х–1)(х–2)+(х+1)(х+2)–2х–8
-------------------------------------- = 0
(х^2–4)
х^2–2х–х+2+х^2+2х+х+2–2х–8
----------------------------------------------- = 0
(х^2–4)
2х^2–2х–4=0
х^2–х–2=0
х1+х2=1
х1•х2=–2
х1=2; х2=–1
Ответ: х=–1
------ + ------ – --------- = 0
х+2 х–2 х^2–4
ОДЗ: х не равно -2 и 2
(х–1)(х–2)+(х+1)(х+2)–2х–8
-------------------------------------- = 0
(х^2–4)
х^2–2х–х+2+х^2+2х+х+2–2х–8
----------------------------------------------- = 0
(х^2–4)
2х^2–2х–4=0
х^2–х–2=0
х1+х2=1
х1•х2=–2
х1=2; х2=–1
Ответ: х=–1
Ответ дал:
0
Спасибо огромное, но что это за знак ? ^
Ответ дал:
0
Степень
Вас заинтересует
2 года назад
2 года назад
7 лет назад
10 лет назад
10 лет назад
10 лет назад