• Предмет: Алгебра
  • Автор: CattyToy
  • Вопрос задан 9 лет назад

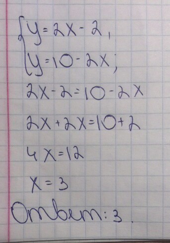
помогите решить уравнение
y=2x-2 и y=10-2x

Ответы

Ответ дал: BabyAnimals
0
Ответ:x=3.
Решение на фото
Приложения:
Вас заинтересует