Ответы
Ответ дал:
0
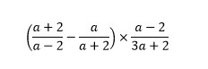
а+2 а а-2 (а+2)²-а*(а-2) а-2
( ------- - --------- ) * ---------- = (-----------------------) * ----------- =
а-2 а+2 3а+2 (а-2)(а+2) 3а+2
а²+4а+4-а²+2а а-2 6а+4 а-2
= (--------------------------) * -------------- = (-----------------------) * -------------- =
(а-2)(а+2) 3а+2 (а-2)(а+2) 3а+2
2*(3а+2) а-2 2
= (------------------)* ----------- = ----------
(а-2)(а+2) 3а+2 а+2
( ------- - --------- ) * ---------- = (-----------------------) * ----------- =
а-2 а+2 3а+2 (а-2)(а+2) 3а+2
а²+4а+4-а²+2а а-2 6а+4 а-2
= (--------------------------) * -------------- = (-----------------------) * -------------- =
(а-2)(а+2) 3а+2 (а-2)(а+2) 3а+2
2*(3а+2) а-2 2
= (------------------)* ----------- = ----------
(а-2)(а+2) 3а+2 а+2
Вас заинтересует
2 года назад
7 лет назад
7 лет назад
10 лет назад
10 лет назад
10 лет назад