• Предмет: Алгебра
  • Автор: ВладимирЧугунов
  • Вопрос задан 9 лет назад

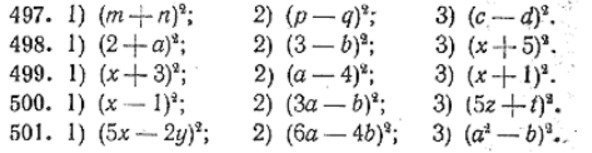
Выполните возведение в квадрат

Приложения:

Ответы

Ответ дал: Рувим2003
0
Вот ответы. Удачи в решении))
Приложения:
Ответ дал: ВладимирЧугунов
0
Спасибо большое))
Ответ дал: Рувим2003
0
обращайся)
Вас заинтересует