• Предмет: Математика
  • Автор: olegukraine
  • Вопрос задан 9 лет назад

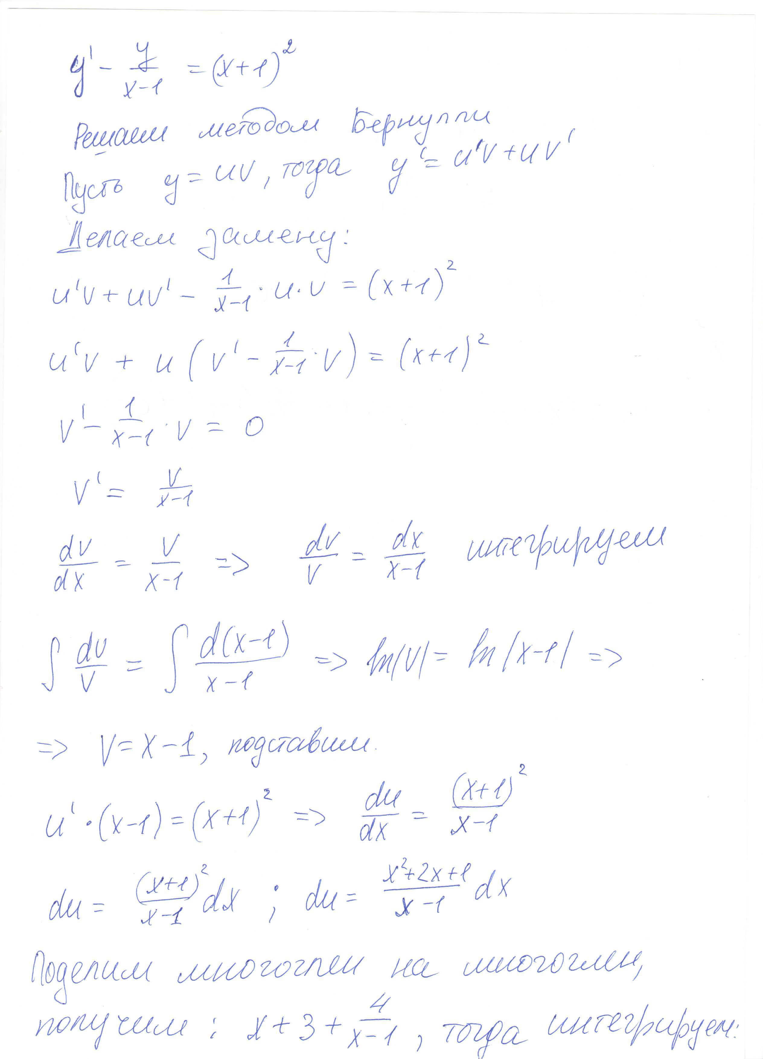
Помогите решить линейно неоднородные дифференциальные уравнения на фото задание.

Приложения:

Ответы

Ответ дал: JevelS
0
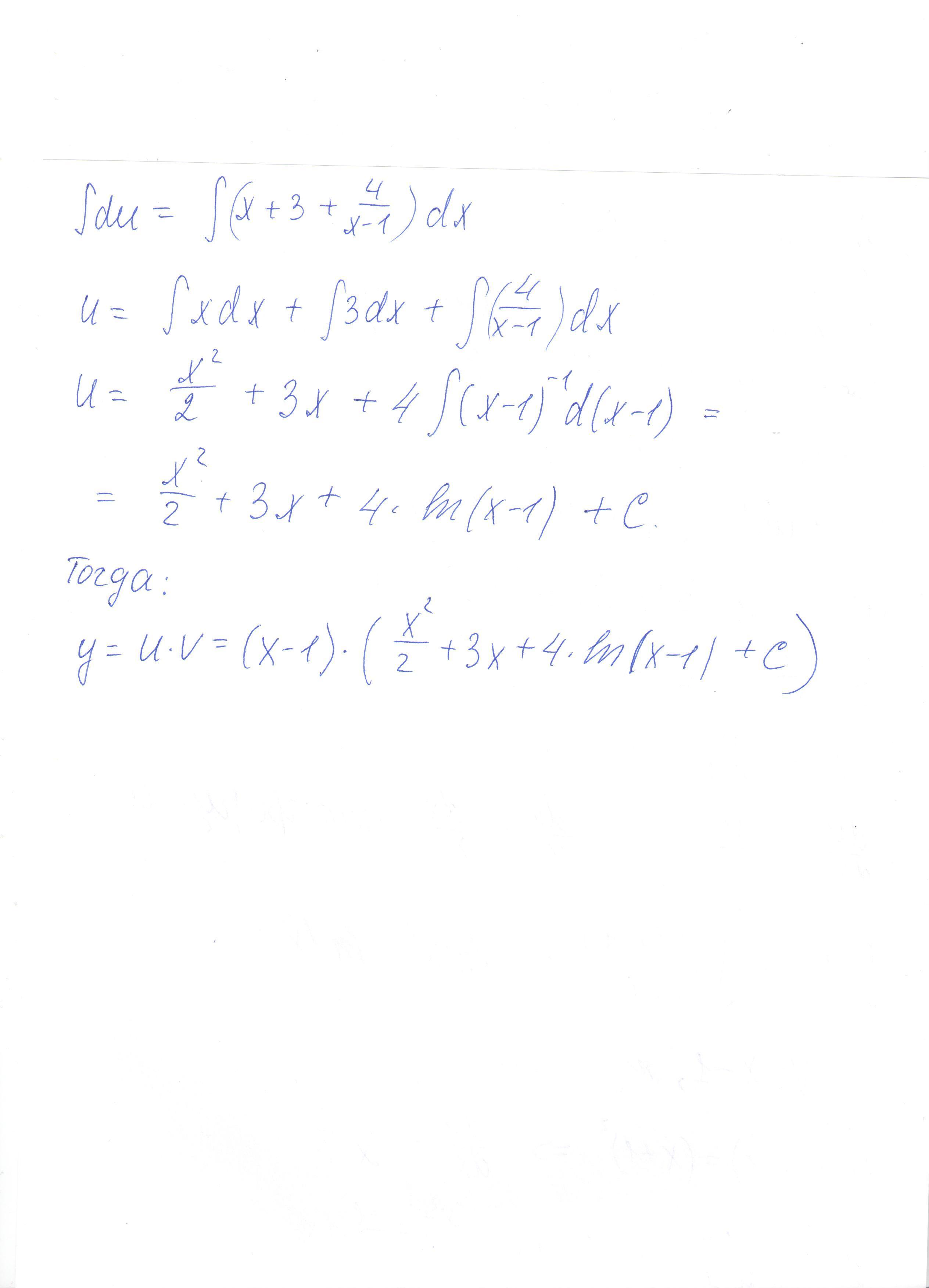
Решение во вложении..........
Приложения:
Вас заинтересует