Ответы
Ответ дал:
0
Это можно найти только на калькуляторе или по таблицам Брадиса.
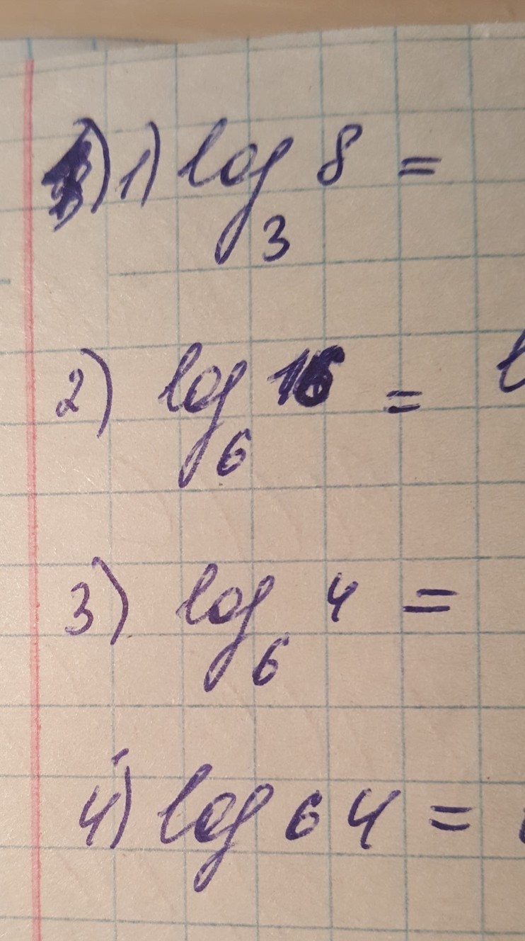
log3 (8) ~ 1,8928
log6 (16) ~ 1,5474
log6 (4) ~ 0,7737
log6 (64) ~ 2,3211
log3 (8) ~ 1,8928
log6 (16) ~ 1,5474
log6 (4) ~ 0,7737
log6 (64) ~ 2,3211
Вас заинтересует
2 года назад
2 года назад
7 лет назад
7 лет назад
10 лет назад
10 лет назад
10 лет назад