Ответы
Ответ дал:
0
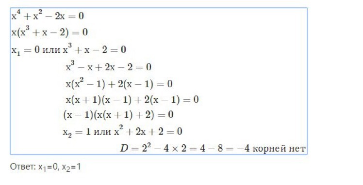
1)вынесли общий множитель за скобки
2)метод групировки (как бы,удобнеее решить в данном случае)
3)по формуле разложили :(а^2-b^2)=(a-b)(a+b)
4)выносим общий множитель
5)находим корни (если возможно)
6)решаем через дискрименант и находим корни)
2)метод групировки (как бы,удобнеее решить в данном случае)
3)по формуле разложили :(а^2-b^2)=(a-b)(a+b)
4)выносим общий множитель
5)находим корни (если возможно)
6)решаем через дискрименант и находим корни)
Вас заинтересует
2 года назад
2 года назад
7 лет назад
7 лет назад
10 лет назад