Ответы
Ответ дал:
0
2*25+5b-10=0 ⇒ b=-8
Запишем полный вид уравнения
2x²-8x-10=0
Можно найти второй корень через дискриминант, можно разделить уравнение на x-5
Второй корень x=-1
Запишем полный вид уравнения
2x²-8x-10=0
Можно найти второй корень через дискриминант, можно разделить уравнение на x-5
Второй корень x=-1
Ответ дал:
0
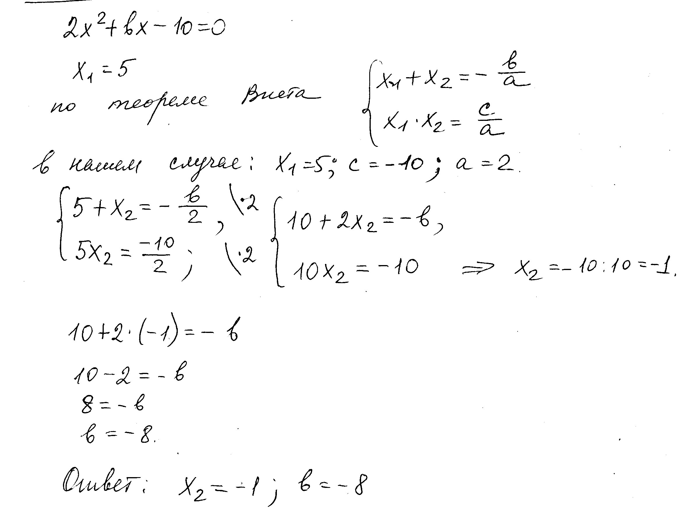
решение во вложенном файле
Приложения:

Вас заинтересует
2 года назад
2 года назад
7 лет назад
7 лет назад
9 лет назад
10 лет назад
10 лет назад