• Предмет: Алгебра
  • Автор: keksik228
  • Вопрос задан 9 лет назад

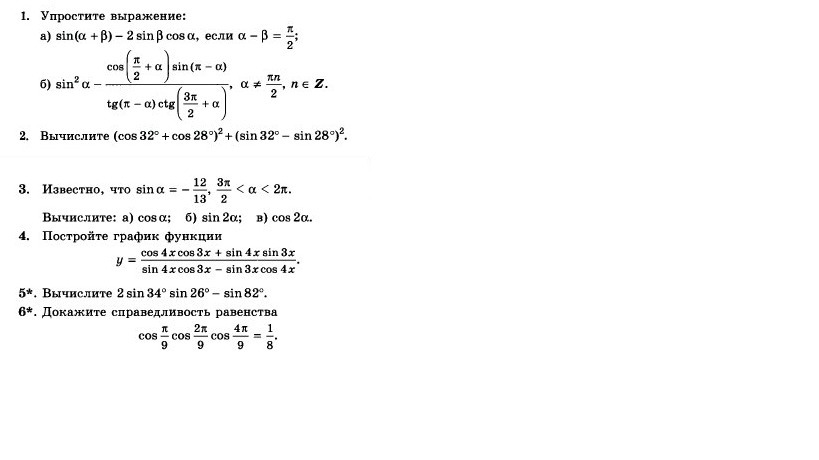
Помогите пожалуйста решить 1,3,6 задания

Приложения:

Ответа на этот вопрос пока нет. Попробуйте найти его через форму поиска.

Вас заинтересует