• Предмет: Алгебра
  • Автор: danil0820001
  • Вопрос задан 9 лет назад

Нужно решить с подробным решением

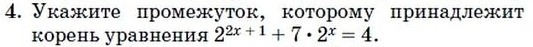
Приложения:

Ответы

Ответ дал: NNNLLL54
0
2^{2x+1}+7cdot 2^{x}=4\\star ; ; ; 2^{2x+1}=2^{2x}cdot 2^1=(2^{x})^2cdot 2; ; star \\t=2^{x} textgreater  0; ,; ; 2t^2+7 t-4=0\\D=49+32=81; ,\\ t_1=frac{-7-9}{4}=-4 textless  0; ne; podxodit\\t_2=frac{1}{2} textgreater  0\\2^{x}=frac{1}{2}\\2^{x}=2^{-1}\\x=-1
Ответ дал: danil0820001
0
Если я еще создам вопросы, сможете помочь?
Вас заинтересует