Здравствуйте, помогите решить домашнее задание по теме:
«Логарифмические уравнения»
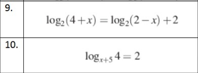
Найдите корень уравнения :
Приложения:
Ответа на этот вопрос пока нет. Попробуйте найти его через форму поиска.
Вас заинтересует
2 года назад
2 года назад
7 лет назад
7 лет назад
10 лет назад
10 лет назад
10 лет назад