• Предмет: Математика
  • Автор: соня1717151515555557
  • Вопрос задан 9 лет назад

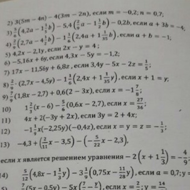
Номер 91(2,10)
Помогите пожалуйста,очень прошу.Заранее спасибо

Приложения:

Ответа на этот вопрос пока нет. Попробуйте найти его через форму поиска.

Вас заинтересует