• Предмет: Алгебра
  • Автор: nastysaska
  • Вопрос задан 9 лет назад

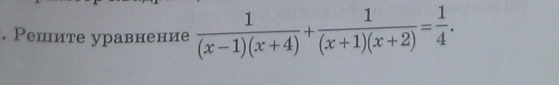
Помогите решить уравнение

Приложения:

Ответы

Ответ дал: ВладимирБ
0
Решение смотри на фото
Приложения:
Ответ дал: nastysaska
0
Большое спасибо
Вас заинтересует