• Предмет: Алгебра
  • Автор: eklektoi
  • Вопрос задан 9 лет назад

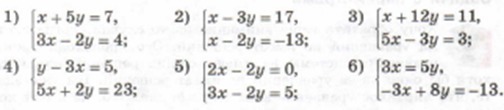
ПОМОГИТЕ ПЛИИИЗ ДАЮ 30 БАЛОВ, СДЕЛАЙТЕ НА ЛИСТОЧКЕ!!!!!!

Приложения:

Ответа на этот вопрос пока нет. Попробуйте найти его через форму поиска.

Вас заинтересует