• Предмет: Алгебра
  • Автор: petrgrushnitsk
  • Вопрос задан 9 лет назад

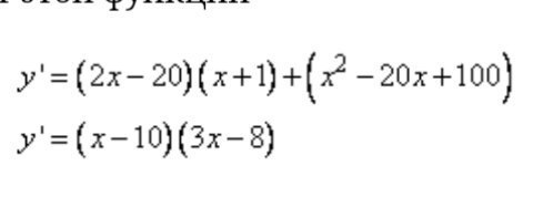
Как они из первой строчки вывели вторую? Подскажите, пожалуйста!

Приложения:

Ответа на этот вопрос пока нет. Попробуйте найти его через форму поиска.

Вас заинтересует