• Предмет: Математика
  • Автор: соня1717151515555557
  • Вопрос задан 9 лет назад

Умоляю.Помогиииите!!!!!!!Даю 20 баллов за 2 уравнения
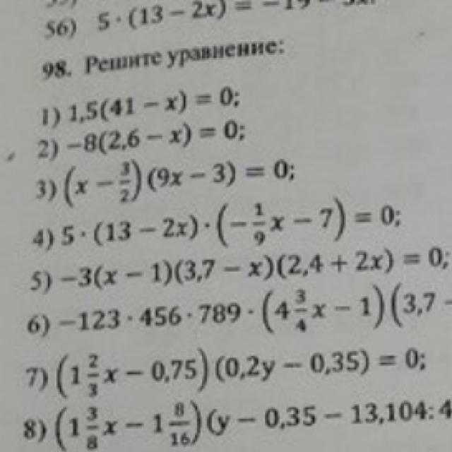
Номер 98(3,4)

Приложения:

Ответы

Ответ дал: jekadva
0
x+3/2=0 или 9x-3=0
x=-3/2            9x=3
                       x=3/9
                       x=1/3
ответ: -3/2 ; 1/3
=====================
4)
13-2x=0 или -1/9x-7=0
2x=13            -1/9x=7
x=13:2             x=-7*9
x=6,5               x=-63
ответ: -63 ; 6,5
Ответ дал: соня1717151515555557
0
Спасибо,что откликнулись.Если не трудно и хотите заработать ещё баллы,ответьте пожалуйста на вопросы,которые я задала ранее
Вас заинтересует