• Предмет: Алгебра
  • Автор: araykooosh
  • Вопрос задан 9 лет назад

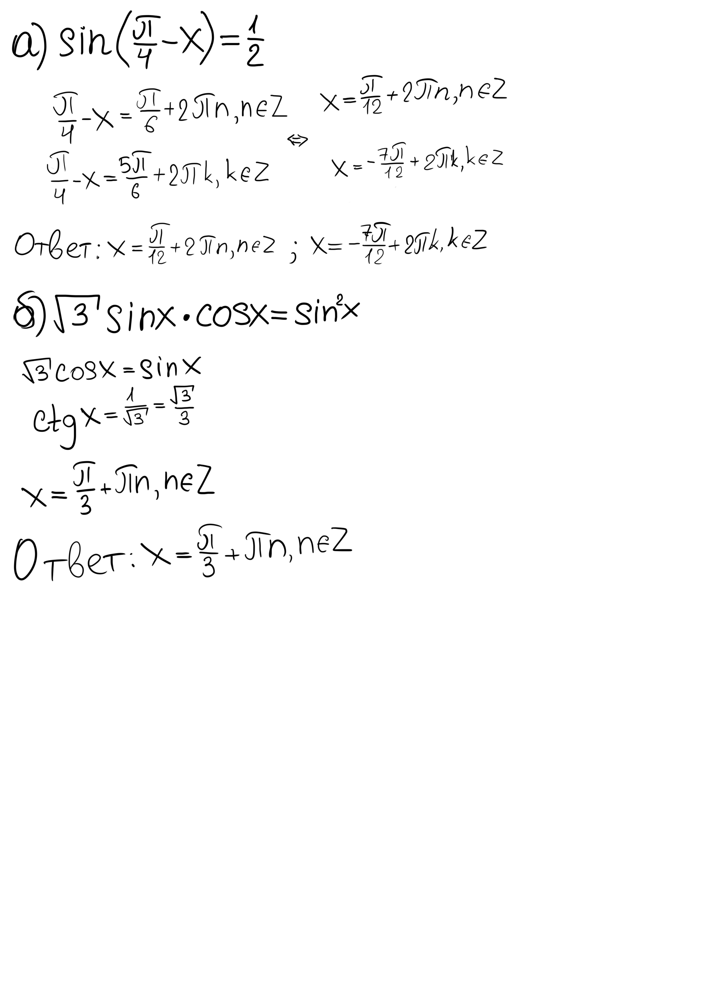
помагите пожалуйста ) )

Приложения:

Ответы

Ответ дал: Kirik009
0
вроде все правильно, но лучше проверить
Приложения:
Вас заинтересует