Ответы
Ответ дал:
0
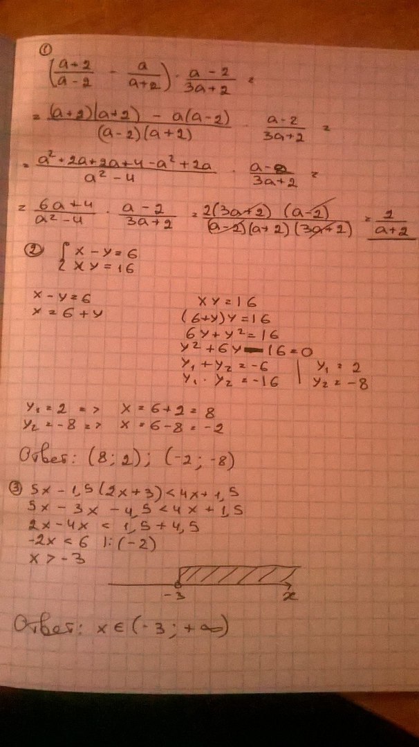
(на фото подробное решение)
1. первую скобку приводим к общему знаменателю, приводим подобные, сокращаем
2.из первого уравнения выражаем х, подставляем во второе выражаем у.
3.раскрываем скобки, приводим подобные
4.пользуемся правилами умножения и деление чисел с одинаковыми основаниями
5. по точкам строи график, то что заштриховано это положительные значения у
1. первую скобку приводим к общему знаменателю, приводим подобные, сокращаем
2.из первого уравнения выражаем х, подставляем во второе выражаем у.
3.раскрываем скобки, приводим подобные
4.пользуемся правилами умножения и деление чисел с одинаковыми основаниями
5. по точкам строи график, то что заштриховано это положительные значения у
Приложения:
Вас заинтересует
2 года назад
2 года назад
7 лет назад
7 лет назад
10 лет назад
10 лет назад