Даю 50 баллов! Пожалуйста помогите! Пожалуйста!
Построить функцию y=1/2x+2
a) при каком значении х функция равно 0?
б) при каком значении х функция равно -1
в) при каком значении функция принимает значение х равном: -4;0;2
укажите 2 любых значения при котором х функция принимает отрицательное значение.
Пожалуйста с чертежом и решением.
Ответы
Ответ дал:
0
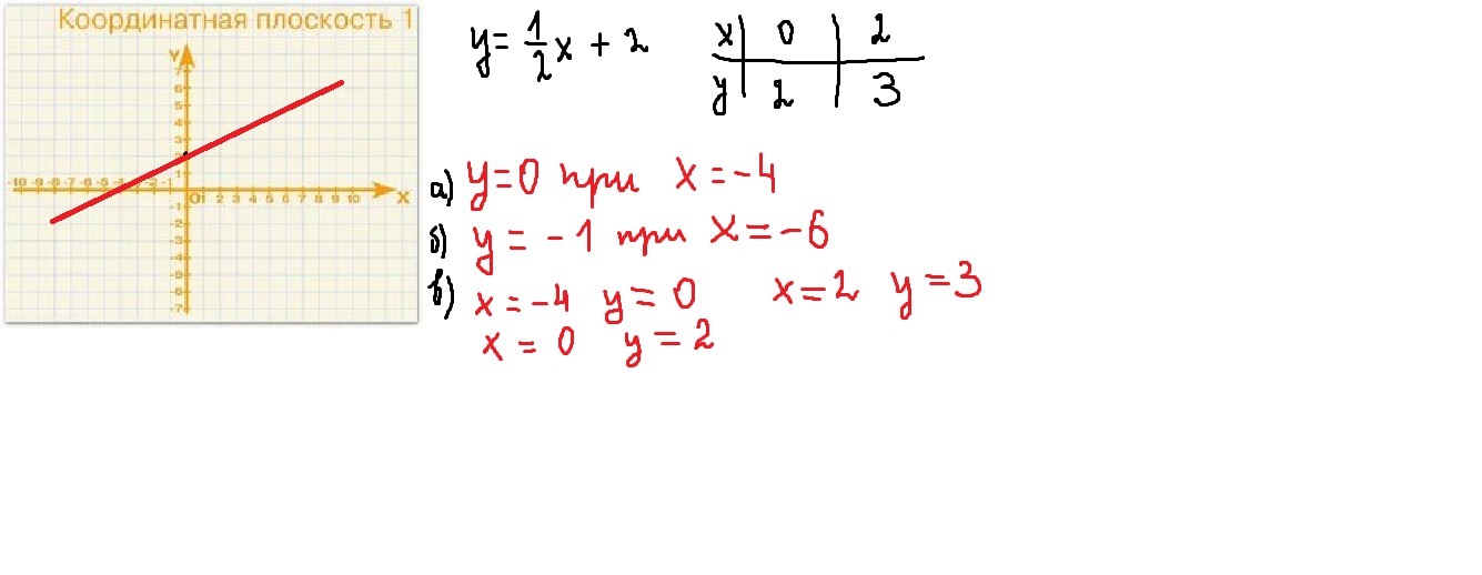
Это прямая, можно построить по 2 точкам. Например, (0,2) и (2
,3).
1) у=0 при 1/2х+2=0 1/2 х= -2, х=-4
2) -1=1/2х+2, 1/2х=-3, х= -6
3)у(-4)=1/2 (-4)+2= -2+2=0
у(0)=2
у(2)=1/2*2+2=3
4) например х=-1, х=-2
Ответ дал:
0
решение внизу.
укажите 2 любых значения при котором х функция принимает отрицательное значение. при х=-6 у=-1 при х=-8 у=-2
укажите 2 любых значения при котором х функция принимает отрицательное значение. при х=-6 у=-1 при х=-8 у=-2
Приложения:

Вас заинтересует
2 года назад
7 лет назад
7 лет назад
9 лет назад
9 лет назад